Tyramine
Horseradish Peroxidase Mediated In Situ Forming Hydrogels From Degradable Tyramine Based Poly Amido Amine S Sun 13 Journal Of Applied Polymer Science Wiley Online Library
When Tyramine Depicted As A Piece Of Cheese Acts To Increase The Download Scientific Diagram
File Tyramine Svg Wikimedia Commons
Tyramine のギャラリー
Tyramine Hydrochloride 60 19 5 Tci Europe N V
M Tyramine Solid 98 Hplc 3458 98 8 Sigma Aldrich
Biomedicines Free Full Text Tyramine And Amyloid Beta 42 A Toxic Synergy Html
Oxidation Of Tyramine To Tyramine Dimer Download Scientific Diagram
Jesse Santiano M D Don T Get Sick Foods High In Tyramine
Tyramine And Health
Tyramine C8h11no Chemspider
A Synthetic Scheme Of The Hyaluronic Acid Tyramine Ht Conjugate Download Scientific Diagram
Picmonic Do You Know What Foods Contain Tyramine Learn Facebook
Tyramine Wikipedia
Tyramine Stock Illustrations 51 Tyramine Stock Illustrations Vectors Clipart Dreamstime
Low Tyramine Headache Diet Magazine With 2 Pages Low Tyramine Headache Diet Headache Diet Essential Oils For Headaches Migraine Diet
Tyramine Crisis And Treatment Youtube
Meta Tyramine Wikipedia
Tyramine C8h11no Pubchem
Tyramine D4 Hydrochloride Cas 114 47 6 Cayman Chemical Biomol Com
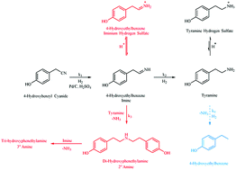
The Production Of Tyramine Via The Selective Hydrogenation Of 4 Hydroxybenzyl Cyanide Over A Carbon Supported Palladium Catalyst Rsc Advances Rsc Publishing
M Tyramine Hydrobromide 99 Hplc Adooq
Tyramine Restricted Diet Triptherapie Nl
Tyramine 98 Fg 51 67 2 Sigma Aldrich
Tyramine 51 67 2 1h Nmr
Injectable Biodegradable Hydrogels Composed Of Hyaluronic Acid Tyramine Conjugates For Drug Delivery And Tissue Engineering Chemical Communications Rsc Publishing Doi 10 1039 B5069k
Tyramine Familial Dysautonomia
Pharmacological Characterization Of A Tyramine Receptor From The Southern Cattle Tick Rhipicephalus Boophilus Microplus Sciencedirect
Tyramine Hydrochloride Endogenous Metabolite Medchemexpress
Tyramine Endogenous Metabolite Medchemexpress
File 3 Tyramine Png Wikipedia
Tyramine Spectrabase
Amino Acid Analysis Of Tyramine
Tyramine 98 60 19 5 Sigma Aldrich
Tyramine Oxidative Metabolism Diagram Alr Aldehyde Aldose Reductase Download Scientific Diagram
This Month In Psychopharmacology
Tyramine D4 Hydrochloride Cas 51 67 2 Unlabeled Scbt Santa Cruz Biotechnology
Tyramine And Migraines What You Need To Know Excedrin
The Low Tyramine Diet For Migraines Dr Lauren Deville Naturopathic Doctor Tucson Az
Figure 1 From Tyramine From Octopamine Precursor To Neuroactive Chemical In Insects Semantic Scholar
An Improved Determination Method For Tyramine In Foods Using Ultra High Performance Liquid Chromatography With Benzylamine As Internal Standard International Journal Of Food Science Technology X Mol
3 Methoxy Tyramine Hydrochloride 3 Methoxy 4 Hydroxyphenethylamine 3 Methoxy P Hydroxyphenethylamine 3 O Methyl Dopamine Cas Number 1477 68 5 Cayman Chemical
Oxidation Of Tyramine To Tyramine Dimer Download Scientific Diagram
Figure 5 From The Oxidation Of Tyramine Tyrosine And Related Compounds By Peroxidase Semantic Scholar
Dopamine Tyramine And Octopamine Synthesis In Drosophila Download Scientific Diagram
Rosh Review Pharmacology Medicine Psychiatry
Low Tyramine Meals Page 1 Line 17qq Com
Tyramine Wikipedia
Tyramine In Foods And Monoamine Oxidase Inhibitor Drugs A Crossroad Where Medicine Nutrition Pharmacy And Food Industry Converge Semantic Scholar
Tyramine Cas 51 67 2 Alkaloids High Purity Manufacturer Biocrick
Colorimetric Enzymatic Determination Of Tyramine By Generation Of Gold Nanoparticles Springerlink
Tyramine Hydrochloride Cas 60 19 5 Scbt Santa Cruz Biotechnology
N Tert Butoxycarbonyl Tyramine 28 1 Tokyo Chemical Industry Co Ltd Apac
With Fava Beans And A Nice Chianti Urine Or Urout
Tyramine Containing Foods Page 1 Line 17qq Com
Tyramine An Overview Sciencedirect Topics
Tyramine From Mybiosource Com Biocompare Com
Tyramine Assignment Point
Tyramine High Res Stock Images Shutterstock
11 Low Tyramine Diet Foods N Tricks Ideas Low Tyramine Diet Migraine Help Migraine Diet
Low Tyramine Cookbook Main Course 80 Low Tyramine Breakfast Main Course Dessert And Snacks Recipes Proven Recipes To Treat Migraine Jerris Noah Jerris Noah Amazon Com Books
Dehydroxylation Of L Dopa To M Tyramine And Or M Hydroxyphenylacetic Download Scientific Diagram
In Situ Cross Linkable Gelatin Poly Ethylene Glycol Tyramine Hydrogel Viaenzyme Mediated Reaction For Tissue Regenerative Medicine Journal Of Materials Chemistry Rsc Publishing
Tyramine Cas Number 51 67 2 Order From Chemodex
Maois Diet High Tyramine Foods May Trigger Dangerous Side Effects
Tyramine An Overview Sciencedirect Topics
Biomedicines Free Full Text Tyramine And Amyloid Beta 42 A Toxic Synergy
Foods With Tyramine
Figure 3 From Tyramine Kinetics And Metabolism In Cirrhosis Semantic Scholar
This Month In Psychopharmacology
Low Tyramine Diet For Individuals With Headache Or Migraine National Headache Foundation
Hyaluronic Acid Creative Pegworks
Tyramine Wikipedia
Ha Tyramine Hyaluronic Acids Cd Bioparticles
Tyramine In Humans Steemit
Pin By Jackie Cooke On Wellness Headache Diet Foods For Migraines Migraine Diet
Tyramine Hydrochloride 50 G Amino Acid Derivatives Amino Acids And Amino Acid Derivatives Organic Bioorganic Chemicals Chemikalien Carl Roth International
Foods To Avoid That Contain Tyramine Nclex Quiz
An Injectable Enzymatically Crosslinked Tyramine Modified Carboxymethyl Chitin Hydrogel For Biomedical Applications Sciencedirect
Tyramine Hydrochloride 99 Acros Organics 5g Glass Bottle Tyramine Hydrochloride 99 Acros Organics Fisher Scientific
Tyramine And Mao Inhibitors Mechanism Medicine Specifics
Tyramine 51 67 2 Tokyo Chemical Industry Co Ltd Apac
Detection Of N Succinyl Tyramine A B Major Fragmentation Reactions Download Scientific Diagram
Tyramine Tusom Pharmwiki
Differential Mechanisms Of Action Of The Trace Amines Octopamine Synephrine And Tyramine On The Porcine Coronary And Mesenteric Artery Scientific Reports
Two Functional But Noncomplementing Drosophila Tyrosine Decarboxylase Genes Journal Of Biological Chemistry
Tyramine Wikidata
Pharm Maois And Tyramine Foods Dose Of Nursing
Tyramine Ymdb Yeast Metabolome Database
Frontiers Highly Variable Pharmacokinetics Of Tyramine In Humans And Polymorphisms In Oct1 Cyp2d6 And Mao A Pharmacology
Tyramine Deficient Animals Are Resistant To Environmental Stress A Download Scientific Diagram
Neuromodulation Of Courtship Drive Through Tyramine Responsive Neurons In The Drosophila Brain Current Biology
Foods To Avoid That Contain Tyramine Foods To Avoid Migraine Triggers Nursing Math
Colorimetric Enzymatic Determination Of Tyramine By Generation Of Gold Nanoparticles Springerlink
A Concise Guide To Monoamine Oxidase Inhibitors Mdedge Psychiatry
Dihydro N Caffeoyl Tyramine Axios Research
This Is Specially For Italians Because None Tells Them About Tyramine If You Suffer From Headache Or Migraine This Is Headache Diet Maoi Diet Migraine Diet
Tyramine C8h11no Pubchem
Tyramine Rich Foods You May Need To Be Careful With Food For Net
Tyramine High Res Stock Images Shutterstock
Tyramine 98 Alfa Aesar Fisher Scientific


